Gradual or leapfrog? Decoding the characteristics and patterns of urban redevelopment in rapidly developing megacities, China
Traditional urban redevelopment studies have been largely confined to micro-scale analyses, leaving macroscale, long-term dynamics poorly understood. This study addresses this gap by utilizing machine learning and multi-temporal satellite imagery, combined with an adapted Local Climate Zone (LCZ’) scheme, to systematically analyze urban redevelopment patterns in three rapidly developing Chinese megacities from 1985 to 2020. Our findings reveal a three-phase evolution: Phase I (<1995), characterized by slow redevelopment that outweighed expansion; Phase II (1995–2010), marked by rapid expansion that surpassed redevelopment; and Phase III (>2010), a period of decelerated expansion where redevelopment once again became the dominant mode of urban change. This evolution has produced distinct redevelopment patterns defined by their intensity change and spatial trajectory. The primary mode is a gradual pattern, where lower-intensity built-up classes are gradually replaced by higher-intensity ones, typically expanding outward from the city center. This is contrasted with leapfrog patterns, characterized by the direct transformation of the lowest-intensity classes to the highestintensity ones. These leapfrog dynamics manifest in two main spatial forms: a “T”-shaped leapfrog, where initial outward redevelopment is followed by a secondary wave of renewal back to the city center, and an inverse “T”-shaped leapfrog, characterized by the simultaneous inward movement of redevelopment from outer suburbs and outward movement from the inner city. While gradual redevelopment pattern were common throughout, leapfrog patterns are more commonly observed in Phase III. These findings reveal a critical shift in urban growth logic from simple expansion to complex, multi-directional redevelopment, and provide valuable empirical insights for guiding urban development and optimizing urban morphology.
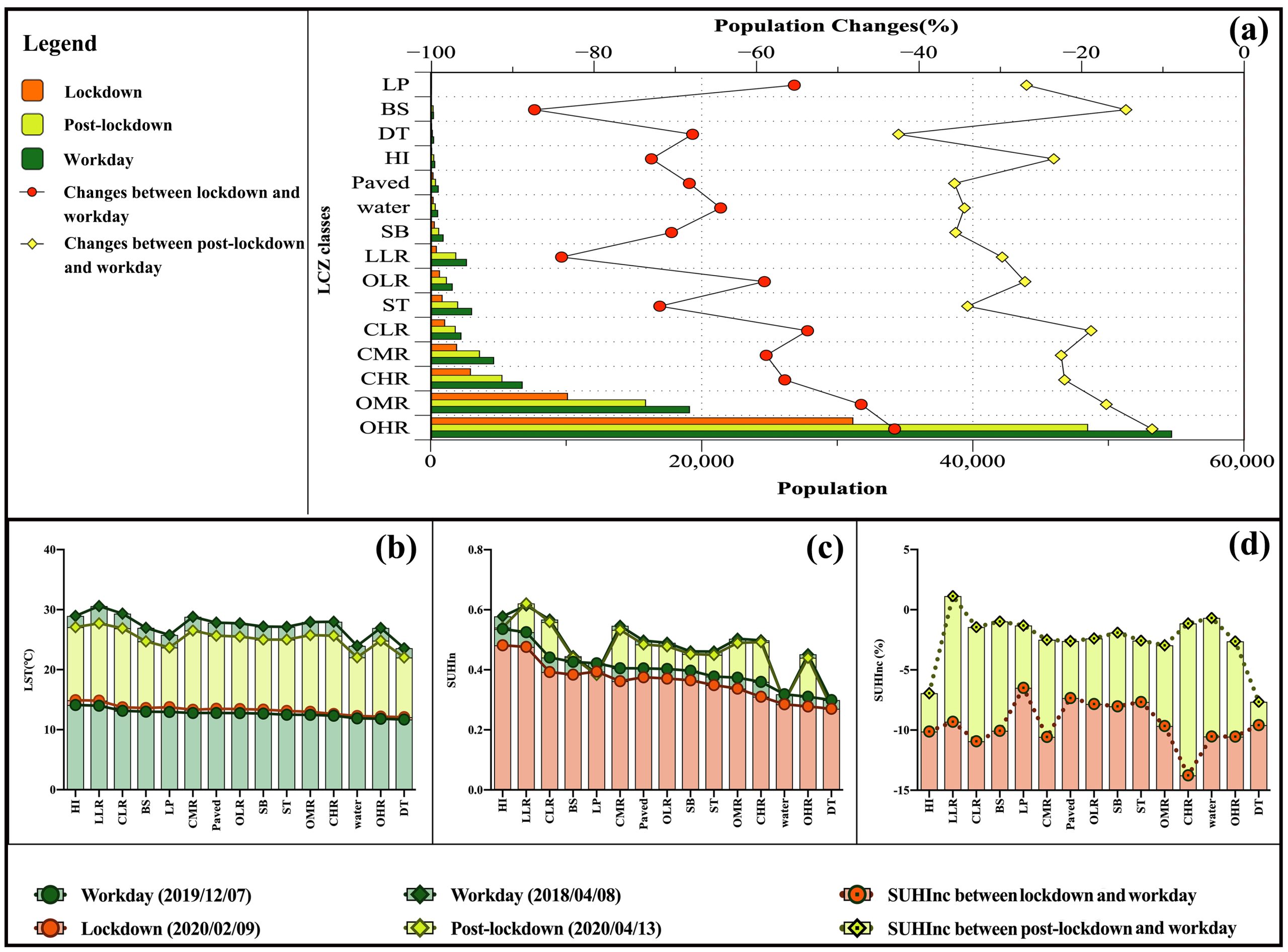
A cooled city? Comparing human activity changes on the impact of urban thermal environment before and after city-wide lockdown
The outbreak of the COVID-19 epidemic in early 2020 reduced human outdoor activities and changed the spatialtemporal distribution of the population. To find its changes on the impact of urban thermal environment, we applied Pearson correlation analysis and OLS linear regression model from the perspective of urban land use and the local climate zone (LCZ) scheme, and selected Wuhan City in China as a case study. The results showed that the population size decreased in most urban land use and LCZ classes due to the Spring Festival and epidemic effects, which caused residents to leave Wuhan City. As a result, the normalized surface urban heat island changes (SUHI nc ) decreased by 9.41% at the city level, and a larger SUHI nc occurred in commercial and industrial land. Among the LCZ classes, the built-up classes also tended to have a larger SUHI nc than the natural land cover classes. However, the population size and human outdoor activity changes did not modify the spatial distribution of the urban thermal environment, because the same trends were observed for various urban land use and LCZ classes, which illustrated that the contribution of anthropogenic heat discharge on the urban thermal environment is relatively weaker. The above findings imply that it is necessary to apply different methods for various urban land uses and alleviate urban heat island.
The characteristic and transformation of 3D urban morphology in three Chinese mega-cities
Urban morphology exerts an important influence on human settlements and serves to promote sustainable development. However, few studies have focused on the three dimensions (3D) of urban morphology. Therefore, to explore 3D urban morphological characteristics and transformations, we adopted a standard urban morphology classification scheme, the local climate zone (LCZ), and selected three Chinese megacities as case studies. Remote sensing images and machine-learning technology were used to create spatiotemporal LCZ maps. Our results reveal that cities have diverse forms, with the dominant urban morphology varying across different cities and periods. However, cities still share several common patterns. The dynamic spatial distribution of LCZ density can be divided into three patterns: spreading, shrinking and relocation. In recent years, Chinese megacities have mainly expanded with open high-rise (OHR) and large low-rise (LLR) classes. Combined with the increase in building height, urban landscapes have been homogeneous. Additionally, 3D urban morphology is driven by several factors, such as economic activity and the dissociation of population growth from urban expansion. Detailed spatiotemporal LCZ maps can help us better understand urban morphology transformations and explore the corresponding driving forces, providing a reference for urban planners and policymakers seeking to make cities healthier and more livable.
Do water bodies play an important role in the relationship between urban form and land surface temperature?
Water bodies are considered an effective factor in mitigating urban heat island (UHI) effects in large cities. In Chongqing, the largest city in western China, using Landsat 8 data obtained in the daytime during the summer, we analyzed the potential influence of the cooling effects of water bodies on the urban land surface temperature (LST) based on the gradient of the distance to the water bodies (DIST). The results indicate that the cooling effect of water bodies can reach one kilometer (horizontal distance) and have a great impact on the relationship between the urban form factors and LST, particularly at a DIST less than 500 m. The sampling was performed in a 250 m × 250 m grid size, and correlations between four urban form factors (i.e., sky view factor, building density, mean building height and floor area ratio) and the LST gradually increased as the DIST increased. According to the multiple linear regression model, the DIST is an important independent variable at a DIST less than 500 m. This study may help researchers better understand the influence of urban form factors on thermal comfort considering water bodies.











